u(I) 除以 根号3!!!!!!!!!!!!!!!!!!!!!!!!!!!
1 仪器的最大允差(仪器误差限)
1.1 长度测量仪器
- 钢板尺:∆仪=最小分度的1/2计算(0.5mm)
- 千分尺:∆仪=最小分度的1/2计算(0.005mm)
- 游标卡尺:∆仪=游标精度(1/20=0.05mm;1/50=0.02mm)
1.2 电学测量仪器
-
电磁仪表(指针式):
仪 -准确度等级,有5.0,2.0,1.5,1.0,0.5,0.2,0.1 -电表量程
例:量程为100V的1.0级电压表,测量一个电池的电动势为1.5V。则仪表的最大允差为1.0V。若量程为10V,则降低到0.1V。
-
数字仪表:
或仪 仪 字 -准确度等级; -误差的绝对项系数; -显示的读数; -仪表的量程或满度值; -与仪表的分辨率有关的误差,表示为数字跳动的最小单位。
例:某准确度等级为1.0级的三位半(最左边的数字只能是0或1,然后还有3位完整的数字(0-9))电表,用20.00V量程测量电池电动势,读数为1.50 V, 末位数字跳动5个单位,则测量结果的最大允差为:
1.0%*1.50+5*0.01 = (0.015+0.05) = 0.065 (V)
若改用2.000 V量程,末位数字跳动5个单位,则为:
1.0%*1.50+5*0.001 = (0.015+0.005)= 0.020 (V) -
电阻箱:
=仪 -残余电阻 -第i个度盘的示值 -相应电阻度盘的准确度级别
-
直流电桥:
仪 -电桥标度盘示值 -电桥的准确度级别 -有效量程的基准值R0 在这个表达式中代表的是一个固定的参考电阻值,它通常是与电桥内部结构或设计有关的固定参数。R0的存在是为了修正或补偿电桥的固有误差,例如由于电桥臂的不完美匹配或制造公差引起的误差。通过在误差表达式中包含 R0,可以更准确地估计测量误差。
-
直流电位差计:
仪
各量物理意义与直流电桥类似
直流电桥和直流电位差计中有效量程的基准值(R0、U0)规定为该量程中最大的10的整数幂。
一元线性回归
:相 关 系 数 :回 归 斜 率 :回 归 截 距 - b的A类不确定度:
- y的B类不确定度:
- b的B类不确定度:
- b的不确定度:
其他
- A类不确定度:
- B类不确定度:
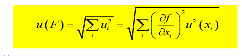
- 不确定度的合成
- 直接测量的不确定度:
- 间接测量的不确定度:
若简介观测量 为乘除或方幂的函数关系,先取对数在进行方差合成,得
例如, ,则有是 常 数
- 直接测量的不确定度:
坐标纸的最小分格以下的估读位与实验数据中最后一位数字对应











